December 11, 2025
Pixelglow Software Releases Instaviz 1.5

Pixelglow Software Releases Instaviz 1.5

Posted December 7, 2009 at 12:23pm by iClarified
Pixelglow Software has launched Instaviz 1.5, the latest version of the first and best diagram sketching software for the Apple iPhone and iPod Touch - featuring animated diagram changes, better scrolling and zooming, and batch file operations.

First released in December 2008, Instaviz has become one of the most popular diagramming software on the iPhone platform, with its simple sketch-to-create interface and deep feature set. Enthusiastic users have awarded 3 1/2 stars out of 5 stars over 88 ratings on the iPhone App Store.

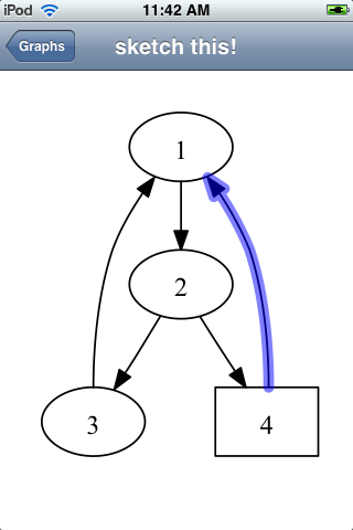
Instaviz 1.5 has an entirely new display architecture, based on the iPhone 3.0 Core Animation layer infrastructure. This results in better diagram display while scrolling and zooming. Diagram changes are now animated to show how the user's editing actually affects the diagram.


The new version also features batch file operations. Users can now email, export or preview multiple diagrams, while choosing any of four different file formats: Graphviz GV, Acrobat PDF, PNG Image and Visio VDX.

All in all, this version contains 25 different bug fixes and enhancements. "Scrolling and zooming should now be so smooth you don't notice you're working on a small screen," says Glen Low, author of Instaviz. "On the other hand, animating diagram changes is more than eye candy, it draws your attention to how your editing reworks the diagram layout."

The new YouTube video on the website showcases the app's amazing ability to recognize shapes and automatically layout diagrams.

About Instaviz:
Instaviz is an iPhone and iPod Touch application that turns roughly sketched shapes and lines into beautifully laid-out diagrams. Instaviz uses Recog, a new shape recognition engine based on advanced fuzzy logic and trained on over 2,500 sketches drawn by real users. Instaviz also uses Graphviz, the industry standard for automated graph layout, representing over 20 years of AT&T research work.


Pricing and Availability:
Instaviz 1.5 is $9.99 (USD) and available worldwide exclusively through the App Store in the Business category.


Read More

Pixelglow Software Releases Instaviz 1.5 Pixelglow Software Releases Instaviz 1.5
Add Comment
Would you like to be notified when someone replies or adds a new comment?
Yes (All Threads)
Yes (This Thread Only)
No
iClarified Icon
Notifications
Would you like to be notified when we post a new Apple news article or tutorial?
Yes
No
Comments
You must login or register to add a comment...
Recent. Read the latest Apple News.
RECENT
Tutorials. Help is here.
TUTORIALS
Where to Download macOS Sequoia
Where to Download macOS Sonoma
AppleTV Firmware Download Locations
Where To Download iPad Firmware Files From
Where To Download iPhone Firmware Files From
Deals. Save on Apple devices and accessories.
DEALS